线性系统(Linear System)
一个线性系统满足两个条件:Persevering Multiplication和Persevering Addition。
- Persevering Multiplication

- Persevering Addition

- 多元线性方程组是一个线性系统

向量(Vectors)
向量是一堆数的集合,分为列向量和行向量,本文中,向量默认是列向量,行向量用其转置表示。

- 向量与标量相乘,每一维都与该标量相乘:

- 向量相加,使用平行四边形法则:

-零向量:所有维度的值都为0:

- 标准向量:一个维度是1,其余维度是0:

- 向量集:可以包含有限个或无限个向量:

- Rn: 所有的n维向量组成的向量集合

矩阵Matrix
矩阵是一组向量:

如果矩阵有m行和n列,我们就说矩阵的大小为m*n,如果m=n,我们称为方阵(square matrix)。 矩阵的元素下标表示,先行后列:

-
矩阵与标量相乘:每一个元素分别与该标量相乘。
-
矩阵相加:两个矩阵的
形状必须一致,同位置的元素分别相加。 -
零矩阵:所有元素均为0的矩阵。
-
单位矩阵Identity matrix:必须是方阵,对角线元素为1,其余为0,用I(n)表示n*n的单位矩阵。

- 同形状的矩阵的一些运算法则:
A、B、C是M*N的矩阵,S和T是标量:
A + B = B + A
(A + B)+ C = A+ (B + C)
(S * T) * A = S * (T * A)
S*(A+ B)= S * A+ S * B
(S + T) * A= S * A + T * A
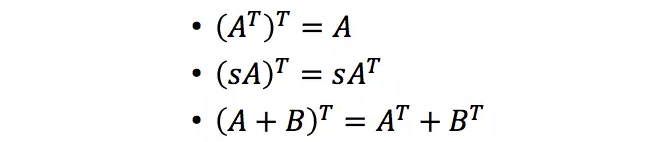
- 矩阵的转置:沿左上到右下的对角线为轴进行翻转,将(i,j)位置的元素与(j,i)位置的元素互换得到的矩阵,转置的矩阵用A(T)表示。

- 矩阵转置的一些运算规则:

矩阵与向量相乘
矩阵A的列数要与向量x的维数相同。
矩阵和向量相乘,结果如下:

- 从行的角度看,矩阵A和向量x相乘,其结果是矩阵的A的每一行与向量x做点积(dot product,后面再介绍) 的结果。

- 从列的角度看,矩阵A和向量x相乘,相当于对矩阵A的列向量做了一次线性组合。


https:/www.jianshu.com/p/21aea5108d83